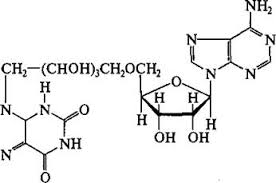
СинонимыAMP Disodium Salt, AMP-Na2
Физические данные:Solid
Химическая формулаC10H12N5Na2O7P
M391.19 g/mol
CAS-No.:4578-31-8
HS-No.:29349990
EC-No.:224-961-2
Условия хранения:2-8°C
Содержание основного вещества:мин. 99 %
α20°C/D; 1 %, H2O-44° - -47°
Тяжелые металлы (as Pb)макс. 0.001 %
Воды(по К.Фишеру)макс. 26 %