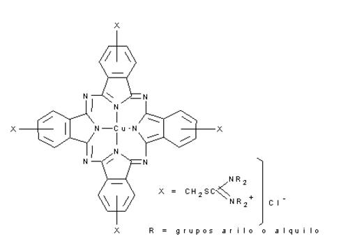
Mолекулярная масса = 1.298,88 г/моль
CAS [33864-99-2]
EINECS 278-333-8
TARIC 3204 16 00 90
Синонимы: Alcian Blue, Alcian Blue 8 GS, Ingrain Blue 1
Физические данные: попрошок темно-синегоцвета, растворимы в воде 9,5 г/л при 20 °C. Растворимость в спирте 6 г/л. M.P.: 148 °C
Химическая формула C56H68Cl4CuN16S4
Надписи предупреждения: OSHA-PEL (Cu) 0,1 мг/м 3
Идентичность
IR необходимо проводить тесты
Ratio lmax. P +/-15 nm
0,95 - 1,05
A 1% , 1 cm, λmax.
>200
λof max. ABS in H2O
615 - 619 nm
Допустимые значения примесей
Потеря при сушке 105°C
15%
Литература:
Merck Index 12, 219 13, 217 Conn’s IX 453